Lección 6 Descripción de la muestra de casos según sintomatología
Hubo:
388 infecciones asintomáticas (49.05%)
329 infecciones leves (41.59%)
74 infecciones graves (9.36%)
Síntomas=ordered(c("Asintomática", "Leve", "Grave"),levels=c("Asintomática", "Leve", "Grave"))
valor=as.vector(prop.table(table(Sint)))
data <- data.frame(Síntomas,valor)
ggplot(data, aes(x=Síntomas, y=valor,fill=Síntomas)) + 
  geom_bar(stat="identity")+
  xlab("")+
  ylab("")+
  scale_fill_brewer(palette = "Dark2") +
  theme(legend.position="none")
Figura 6.1:
Trim=Casos$Trim.Diag
NA_T=length(Trim[is.na(Trim)])
NA_S=length(Sint[is.na(Sint)])
DF=data.frame(Trimestre=Trim,Síntomas=Sint)
taula=table(DF)[,1:3]
proptaula=round(100*prop.table(table(DF)),2)[,1:3]
EEExt=cbind(c(as.vector(taula[,1]),sum(taula[,1])),
            c(as.vector(proptaula[,1]), round(100*sum(taula[,1])/n_I,2)),
            c(as.vector(taula[,2]),sum(taula[,2])),
            c(as.vector(proptaula[,2]), round(100*sum(taula[,2])/n_I,2)),
            c(as.vector(taula[,3]),sum(taula[,3])),
            c(as.vector(proptaula[,3]), round(100*sum(taula[,3])/n_I,2))
            )
rownames(EEExt)=c("1er trimestre", "2o trimestre", "3er trimestre","Total")
colnames(EEExt)=Columnes.Sint
EEExt %>%
  kbl() %>%
  kable_styling() %>%     
  scroll_box(width="100%", box_css="border: 0px;")| Asintomáticas (N) | Asintomáticas (%) | Leves (N) | Leves (%) | Graves (N) | Graves (%) | |
|---|---|---|---|---|---|---|
| 1er trimestre | 12 | 1.52 | 38 | 4.80 | 0 | 0.00 | 
| 2o trimestre | 25 | 3.16 | 89 | 11.25 | 13 | 1.64 | 
| 3er trimestre | 351 | 44.37 | 202 | 25.54 | 61 | 7.71 | 
| Total | 388 | 23.26 | 329 | 19.72 | 74 | 4.44 | 
Síntomas=ordered(rep(c("Asintomática", "Leve", "Grave"), each=3),levels=c("Asintomática", "Leve", "Grave"))
Grupo=rep(c("1er trimestre", "2o trimestre", "3er trimestre") , 3)
valor=as.vector(prop.table(taula, margin=1))
data <- data.frame(Grupo,Síntomas,valor)
ggplot(data, aes(fill=Síntomas, y=valor, x=Grupo)) + 
  geom_bar(position="dodge", stat="identity")+
  xlab("Trimestre de infección")+
  ylab("")+
  scale_fill_brewer(palette = "Dark2") 
Figura 6.2:
6.1 Antecedentes maternos
6.1.1 Edades
I=Casos$Edad._años_
DF=data.frame(Edad=I,Sint=Casos$SINTOMAS_DIAGNOSTICO)
DF %>%
  ggplot( aes(x=Sint, y=Edad, fill=Sint)) +
    geom_violin(width=1) +
    geom_boxplot(width=0.1, color="black", alpha=0.2,outlier.fill="black",
               outlier.size=1) +
    theme(
      legend.position="none",
      plot.title=element_text(size=11)
    ) +
    xlab("")+
  ylab("Edades (años)")+
 scale_fill_brewer(palette="Dark2")
I1=I[Casos$SINTOMAS_DIAGNOSTICO=="Asintomática"]
I2=I[Casos$SINTOMAS_DIAGNOSTICO=="Leve"]
I3=I[Casos$SINTOMAS_DIAGNOSTICO=="Grave"]
Dades=rbind(c(round(min(I1,na.rm=TRUE),1),round(max(I1,na.rm=TRUE),1), round(mean(I1,na.rm=TRUE),1),round(median(I1,na.rm=TRUE),1),round(quantile(I1,c(0.25,0.75),na.rm=TRUE),1), round(sd(I1,na.rm=TRUE),1)),
            c(round(min(I2,na.rm=TRUE),1),round(max(I2,na.rm=TRUE),1), round(mean(I2,na.rm=TRUE),1),round(median(I2,na.rm=TRUE),1),round(quantile(I2,c(0.25,0.75),na.rm=TRUE),1), round(sd(I2,na.rm=TRUE),1)),
            c(round(min(I3,na.rm=TRUE),1),round(max(I3,na.rm=TRUE),1), round(mean(I3,na.rm=TRUE),1),round(median(I3,na.rm=TRUE),1),round(quantile(I3,c(0.25,0.75),na.rm=TRUE),1), round(sd(I3,na.rm=TRUE),1)))
colnames(Dades)=c("Edad mínima","Edad máxima","Edad  media", "Edad  mediana", "1er cuartil", "3er cuartil", "Desv. típica")
rownames(Dades)=c("Asintomática", "Leve","Grave")
Dades %>%
  kbl() %>%
  kable_styling() %>%     
  scroll_box(width="100%", box_css="border: 0px;")| Edad mínima | Edad máxima | Edad media | Edad mediana | 1er cuartil | 3er cuartil | Desv. típica | |
|---|---|---|---|---|---|---|---|
| Asintomática | 18 | 46 | 31.3 | 32.0 | 27.0 | 36 | 6.3 | 
| Leve | 18 | 47 | 30.2 | 30.0 | 25.0 | 34 | 6.2 | 
| Grave | 18 | 44 | 32.3 | 32.5 | 28.2 | 37 | 5.7 | 
Ajuste de las edades maternas a distribuciones normales: test de Shapiro-Wilks, p-valores \(5\times 10^{-5}\), \(0.004\) y 0.5575, respectivamente
Edades medias: test de Kruskal-Wallis, p-valor 0.0050556
Desviaciones típicas: test de Fligner-Killeen, p-valor 0.528
Contrastes post hoc por parejas
Contraste=c("Asíntomatica vs Leve","Asíntomatica vs Grave", "Leve vs Grave")
pvals=round(3*c(t.test(I1,I2,var.equal=TRUE)$p.value, t.test(I1,I3,var.equal=TRUE)$p.value,
            t.test(I2,I3,var.equal=TRUE)$p.value),4)
dades=data.frame(Contraste=Contraste,"p-valor"=pvals)
dades %>%
  kbl() %>%
  kable_styling() %>%     
  scroll_box(width="100%", box_css="border: 0px;")| Contraste | p.valor | 
|---|---|
| Asíntomatica vs Leve | 0.0501 | 
| Asíntomatica vs Grave | 0.6159 | 
| Leve vs Grave | 0.0222 | 
En tablas como la que sigue:
p-valor: El p-valor del test \(\chi^2\) de si la distribución de la fila correspondiente en casos sintomáticos es la misma que la del global de la muestra de casos, ajustado por Bonferroni cuando haya más de 2 filas
Tipo: El tipo de test \(\chi^2\), paramétrico, siempre que es posible, o Montecarlo, cuando no se dan las condiciones necesarias para que tenga sentido efectuar el test paramétrico
I.cut=cut(I,breaks=c(0,30,40,100),labels=c("18-30","31-40",">40"))
Tabla.DMCasosm(I.cut, c("18-30", "31-40", ">40"))| Asintomáticas (N) | Asintomáticas (%) | Leves (N) | Leves (%) | Graves (N) | Graves (%) | p-valor | Tipo | |
|---|---|---|---|---|---|---|---|---|
| 18-30 | 165 | 42.6 | 170 | 51.7 | 26 | 35.1 | 0.025683 | Paramétrico | 
| 31-40 | 201 | 51.9 | 140 | 42.6 | 44 | 59.5 | 0.019933 | Paramétrico | 
| >40 | 21 | 5.4 | 19 | 5.8 | 4 | 5.4 | 1.000000 | Montecarlo | 
| Datos perdidos | 1 | 0 | 0 | 
Síntomas=ordered(rep(c("Asintomática", "Leve", "Grave"), each=3),levels=c("Asintomática", "Leve", "Grave"))
Grupo=ordered(rep(c("18-30","31-40",">40") , 3),levels=c("18-30","31-40",">40"))
taula=table(data.frame(Edad=I.cut,Síntomas=Sint))
valor=as.vector(prop.table(taula, margin=1))
data <- data.frame(Grupo,Síntomas,valor)
ggplot(data, aes(fill=Síntomas, y=valor, x=Grupo)) + 
  geom_bar(position="dodge", stat="identity")+
  xlab("Edad")+
  ylab("")+
  scale_fill_brewer(palette = "Dark2") 
Figura 6.3:
- Asociación entre los grupos de sintomatología y las franjas de edad: test \(\chi^2\), p-valor 0.035
 
6.1.2 Etnia
I=Casos$Etnia
I[I=="Asia"]="Asiática"
I=factor(I)
Tabla.DMCasosm(I,c("Árabe", "Asiática", "Blanca", "Latinoamericana","Negra"))| Asintomáticas (N) | Asintomáticas (%) | Leves (N) | Leves (%) | Graves (N) | Graves (%) | p-valor | Tipo | |
|---|---|---|---|---|---|---|---|---|
| Árabe | 53 | 13.7 | 25 | 7.6 | 9 | 12.2 | 0.168410 | Paramétrico | 
| Asiática | 14 | 3.6 | 6 | 1.8 | 5 | 6.8 | 0.339466 | Montecarlo | 
| Blanca | 219 | 56.6 | 145 | 44.2 | 23 | 31.1 | 0.000110 | Paramétrico | 
| Latinoamericana | 85 | 22.0 | 144 | 43.9 | 36 | 48.6 | 0.000000 | Paramétrico | 
| Negra | 16 | 4.1 | 8 | 2.4 | 1 | 1.4 | 1.000000 | Montecarlo | 
| Datos perdidos | 1 | 1 | 0 | 
Síntomas=ordered(rep(c("Asintomática", "Leve", "Grave"), each=5),levels=c("Asintomática", "Leve", "Grave"))
Grupo=ordered(rep(c("Árabe", "Asiática", "Blanca", "Latinoamericana","Negra") , 3),levels=c("Árabe", "Asiática", "Blanca", "Latinoamericana","Negra"))
taula=table(data.frame(Etnia=I,Síntomas=Sint))
valor=as.vector(prop.table(taula, margin=1))
data <- data.frame(Grupo,Síntomas,valor)
ggplot(data, aes(fill=Síntomas, y=valor, x=Grupo)) + 
  geom_bar(position="dodge", stat="identity")+
  xlab("Etnia")+
  ylab("")+
  scale_fill_brewer(palette = "Dark2") 
Figura 6.4:
- Asociación entre los grupos de sintomatología y las etnias: test \(\chi^2\), p-valor \(4\times 10^{-9}\)
 
6.1.3 Hábito tabáquico
taula=table(data.frame(Casos$FUMADORA_CAT,Sint))[c(2,1) ,1:3]
Tabla.DMCasos(Casos$FUMADORA_CAT,"Fumadoras", "No fumadoras")| Asintomáticas (N) | Asintomáticas (%) | Leves (N) | Leves (%) | Graves (N) | Graves (%) | p-valor | Tipo | |
|---|---|---|---|---|---|---|---|---|
| Fumadoras | 34 | 9.2 | 19 | 5.8 | 4 | 5.5 | 0.196205 | Paramétrico | 
| No fumadoras | 336 | 90.8 | 306 | 94.2 | 69 | 94.5 | ||
| Datos perdidos | 18 | 4 | 1 | 
Figura 6.5:
- Potencia del test: 0.346
 
6.1.4 Obesidad
taula=table(data.frame(Casos$Obesidad,Sint))[c(2,1) ,1:3]
Tabla.DMCasos(Casos$Obesidad,"Obesas", "No obesas")| Asintomáticas (N) | Asintomáticas (%) | Leves (N) | Leves (%) | Graves (N) | Graves (%) | p-valor | Tipo | |
|---|---|---|---|---|---|---|---|---|
| Obesas | 70 | 18 | 58 | 17.6 | 16 | 21.6 | 0.718795 | Paramétrico | 
| No obesas | 318 | 82 | 271 | 82.4 | 58 | 78.4 | ||
| Datos perdidos | 0 | 0 | 0 | 
Figura 6.6:
- Potencia del test: 0.103
 
6.1.5 Hipertensión pregestacional
taula=table(data.frame(Casos$Hipertensión.pregestacional,Sint))[c(2,1) ,1:3]
Tabla.DMCasos(Casos$Hipertensión.pregestacional,"HTA", "No HTA")| Asintomáticas (N) | Asintomáticas (%) | Leves (N) | Leves (%) | Graves (N) | Graves (%) | p-valor | Tipo | |
|---|---|---|---|---|---|---|---|---|
| HTA | 6 | 1.5 | 3 | 0.9 | 2 | 2.7 | 0.438356 | Montecarlo | 
| No HTA | 382 | 98.5 | 326 | 99.1 | 72 | 97.3 | ||
| Datos perdidos | 0 | 0 | 0 | 
Figura 6.7:
- Potencia del test: 0.183
 
6.1.6 Diabetes
taula=table(data.frame(Casos$DIABETES,Sint))[c(2,1) ,1:3]
Tabla.DMCasos(Casos$DIABETES,"DM", "No DM")| Asintomáticas (N) | Asintomáticas (%) | Leves (N) | Leves (%) | Graves (N) | Graves (%) | p-valor | Tipo | |
|---|---|---|---|---|---|---|---|---|
| DM | 10 | 2.6 | 7 | 2.1 | 4 | 5.4 | 0.29697 | Montecarlo | 
| No DM | 378 | 97.4 | 322 | 97.9 | 70 | 94.6 | ||
| Datos perdidos | 0 | 0 | 0 | 
Figura 6.8:
- Potencia del test: 0.276
 
6.1.7 Cardiopatía
taula=table(data.frame(Casos$Enfermedad.cardiaca.crónica,Sint))[c(2,1) ,1:3]
Tabla.DMCasos(Casos$Enfermedad.cardiaca.crónica,"ECC", "No ECC")| Asintomáticas (N) | Asintomáticas (%) | Leves (N) | Leves (%) | Graves (N) | Graves (%) | p-valor | Tipo | |
|---|---|---|---|---|---|---|---|---|
| ECC | 2 | 0.5 | 4 | 1.2 | 2 | 2.7 | 0.176782 | Montecarlo | 
| No ECC | 386 | 99.5 | 325 | 98.8 | 72 | 97.3 | ||
| Datos perdidos | 0 | 0 | 0 | 
Figura 6.9:
- Potencia del test: 0.341
 
6.1.8 Enfermedad pulmonar crónica
INA=Casos$Enfermedad.pulmonar.crónica.no.asma
IA=Casos$Diagnóstico.clínico.de.Asma
I.EPC=rep(NA,length(Sint))
for (i in 1:length(Sint)){I.EPC[i]=max(INA[i],IA[i],na.rm=TRUE)}
taula=table(data.frame(I.EPC,Sint))[c(2,1) ,1:3]
Tabla.DMCasos(I.EPC,"EPC", "No EPC")| Asintomáticas (N) | Asintomáticas (%) | Leves (N) | Leves (%) | Graves (N) | Graves (%) | p-valor | Tipo | |
|---|---|---|---|---|---|---|---|---|
| EPC | 10 | 2.6 | 22 | 6.7 | 4 | 5.4 | 0.027897 | Montecarlo | 
| No EPC | 378 | 97.4 | 307 | 93.3 | 70 | 94.6 | ||
| Datos perdidos | 0 | 0 | 0 | 
Figura 6.10:
- Potencia del test: 0.659
 
6.1.9 Gestación múltiple
taula=table(data.frame(Casos$Gestación.Múltiple,Sint))[c(2,1) ,1:3]
Tabla.DMCasos(Casos$Gestación.Múltiple,"Gestación múltiple", "Gestación única")| Asintomáticas (N) | Asintomáticas (%) | Leves (N) | Leves (%) | Graves (N) | Graves (%) | p-valor | Tipo | |
|---|---|---|---|---|---|---|---|---|
| Gestación múltiple | 6 | 1.5 | 5 | 1.5 | 2 | 2.7 | 0.831917 | Montecarlo | 
| Gestación única | 382 | 98.5 | 324 | 98.5 | 72 | 97.3 | ||
| Datos perdidos | 0 | 0 | 0 | 
Figura 6.11:
- Potencia del test: 0.095
 
6.1.10 Paridad
taula=table(data.frame(Casos$NULIPARA,Sint))[c(2,1) ,1:3]
Tabla.DMCasos(Casos$NULIPARA, "Nulípara","Multípara")| Asintomáticas (N) | Asintomáticas (%) | Leves (N) | Leves (%) | Graves (N) | Graves (%) | p-valor | Tipo | |
|---|---|---|---|---|---|---|---|---|
| Nulípara | 145 | 37.4 | 127 | 38.8 | 15 | 20.3 | 0.009484 | Paramétrico | 
| Multípara | 243 | 62.6 | 200 | 61.2 | 59 | 79.7 | ||
| Datos perdidos | 0 | 2 | 0 | 
Figura 6.12:
- Potencia del test: 0.786
 
6.2 Desenlaces
6.2.1 Anomalía congénita
taula=table(data.frame(Casos$Diagnóstico.de.malformación.ecográfica._.semana.20._,Sint))[c(2,1) ,1:3]
Tabla.DMCasos(Casos$Diagnóstico.de.malformación.ecográfica._.semana.20._,"Anomalías congénitas", "No anomalías congénitas")| Asintomáticas (N) | Asintomáticas (%) | Leves (N) | Leves (%) | Graves (N) | Graves (%) | p-valor | Tipo | |
|---|---|---|---|---|---|---|---|---|
| Anomalías congénitas | 5 | 1.3 | 8 | 2.5 | 1 | 1.4 | 0.584442 | Montecarlo | 
| No anomalías congénitas | 367 | 98.7 | 312 | 97.5 | 71 | 98.6 | ||
| Datos perdidos | 16 | 9 | 2 | 
Barplot.DGS(Casos$Diagnóstico.de.malformación.ecográfica._.semana.20._,"Anomalías congénitas", "No anomalías congénitas")
Figura 6.13:
- Potencia del test: 0.166
 
6.2.2 Retraso del crecimiento intrauterino
taula=table(data.frame(Casos$Defecto.del.crecimiento.fetal..en.tercer.trimestre._.CIR._.,Sint))[c(2,1) ,1:3]
Tabla.DMCasos(Casos$Defecto.del.crecimiento.fetal..en.tercer.trimestre._.CIR._.,"RCIU", "No RCIU")| Asintomáticas (N) | Asintomáticas (%) | Leves (N) | Leves (%) | Graves (N) | Graves (%) | p-valor | Tipo | |
|---|---|---|---|---|---|---|---|---|
| RCIU | 16 | 4.1 | 10 | 3 | 1 | 1.4 | 0.418558 | Montecarlo | 
| No RCIU | 372 | 95.9 | 319 | 97 | 73 | 98.6 | ||
| Datos perdidos | 0 | 0 | 0 | 
Figura 6.14:
- Potencia del test: 0.196
 
6.2.3 Diabetes gestacional
taula=table(data.frame(Casos$Diabetes.gestacional,Sint))[c(2,1) ,1:3]
Tabla.DMCasos(Casos$Diabetes.gestacional,"DG", "No DG")| Asintomáticas (N) | Asintomáticas (%) | Leves (N) | Leves (%) | Graves (N) | Graves (%) | p-valor | Tipo | |
|---|---|---|---|---|---|---|---|---|
| DG | 29 | 7.5 | 21 | 6.4 | 9 | 12.2 | 0.231845 | Paramétrico | 
| No DG | 359 | 92.5 | 308 | 93.6 | 65 | 87.8 | ||
| Datos perdidos | 0 | 0 | 0 | 
Figura 6.15:
- Potencia del test: 0.314
 
6.2.4 Hipertensión gestacional
taula=table(data.frame(Casos$Hipertensión.gestacional,Sint))[c(2,1) ,1:3]
Tabla.DMCasos(Casos$Hipertensión.gestacional,"HG", "No HG")| Asintomáticas (N) | Asintomáticas (%) | Leves (N) | Leves (%) | Graves (N) | Graves (%) | p-valor | Tipo | |
|---|---|---|---|---|---|---|---|---|
| HG | 11 | 2.8 | 8 | 2.4 | 3 | 4.1 | 0.819118 | Montecarlo | 
| No HG | 377 | 97.2 | 321 | 97.6 | 71 | 95.9 | ||
| Datos perdidos | 0 | 0 | 0 | 
Figura 6.16:
- Potencia del test: 0.098
 
6.2.5 Rotura prematura de membranas
taula=table(data.frame(Casos$Bolsa.rota.anteparto,Sint))[c(2,1) ,1:3]
Tabla.DMCasos(Casos$Bolsa.rota.anteparto,"RPM", "No RPM")| Asintomáticas (N) | Asintomáticas (%) | Leves (N) | Leves (%) | Graves (N) | Graves (%) | p-valor | Tipo | |
|---|---|---|---|---|---|---|---|---|
| RPM | 50 | 12.9 | 51 | 15.5 | 10 | 13.5 | 0.598283 | Paramétrico | 
| No RPM | 338 | 87.1 | 278 | 84.5 | 64 | 86.5 | ||
| Datos perdidos | 0 | 0 | 0 | 
Figura 6.17:
- Potencia del test: 0.135
 
6.2.6 Preeclampsia
taula=table(data.frame(Casos$PREECLAMPSIA_ECLAMPSIA_TOTAL,Sint))[c(2,1) ,1:3]
Tabla.DMCasos(Casos$PREECLAMPSIA_ECLAMPSIA_TOTAL,"PE", "No PE")| Asintomáticas (N) | Asintomáticas (%) | Leves (N) | Leves (%) | Graves (N) | Graves (%) | p-valor | Tipo | |
|---|---|---|---|---|---|---|---|---|
| PE | 17 | 4.4 | 19 | 5.8 | 4 | 5.4 | 0.705729 | Montecarlo | 
| No PE | 371 | 95.6 | 310 | 94.2 | 70 | 94.6 | ||
| Datos perdidos | 0 | 0 | 0 | 
Figura 6.18:
- Potencia del test: 0.11
 
6.2.7 Preeclampsia con criterios de gravedad
I=Casos[Casos$PREECLAMPSIA_ECLAMPSIA_TOTAL==1,]$Preeclampsia.grave_HELLP_ECLAMPSIA
IA=Casos[Casos$PREECLAMPSIA_ECLAMPSIA_TOTAL==1 & Casos$SINTOMAS_DIAGNOSTICO=="Asintomática",]$Preeclampsia.grave_HELLP_ECLAMPSIA
IL=Casos[Casos$PREECLAMPSIA_ECLAMPSIA_TOTAL==1 & Casos$SINTOMAS_DIAGNOSTICO=="Leve",]$Preeclampsia.grave_HELLP_ECLAMPSIA
IG=Casos[Casos$PREECLAMPSIA_ECLAMPSIA_TOTAL==1 & Casos$SINTOMAS_DIAGNOSTICO=="Grave",]$Preeclampsia.grave_HELLP_ECLAMPSIA
taula=table(data.frame(I,Sint[Casos$PREECLAMPSIA_ECLAMPSIA_TOTAL==1]))
Tabla.DMCasosr(IA,IL,IG,"PE con CG", "PE sin CG")| Asintomáticas (N) | Asintomáticas (%) | Leves (N) | Leves (%) | Graves (N) | Graves (%) | p-valor | Tipo | |
|---|---|---|---|---|---|---|---|---|
| PE con CG | 2 | 11.8 | 7 | 36.8 | 2 | 50 | 0.150485 | Montecarlo | 
| PE sin CG | 15 | 88.2 | 12 | 63.2 | 2 | 50 | ||
| Datos perdidos | 0 | 0 | 0 | 

- Potencia del test: 0.412
 
6.2.8 Eventos hemorrágicos
taula=table(data.frame(Casos$EVENTOS_HEMORRAGICOS_TOTAL,Sint))[c(2,1) ,1:3]
Tabla.DMCasos(Casos$EVENTOS_HEMORRAGICOS_TOTAL,"Eventos hemorrágicos", "No eventos hemorrágicos")| Asintomáticas (N) | Asintomáticas (%) | Leves (N) | Leves (%) | Graves (N) | Graves (%) | p-valor | Tipo | |
|---|---|---|---|---|---|---|---|---|
| Eventos hemorrágicos | 12 | 3.1 | 23 | 7 | 5 | 6.8 | 0.042396 | Montecarlo | 
| No eventos hemorrágicos | 376 | 96.9 | 306 | 93 | 69 | 93.2 | ||
| Datos perdidos | 0 | 0 | 0 | 
Figura 6.19:
Asociación entre los grupos de sintomatología y evento hemorrágico: test \(\chi^2\), p-valor 0.047
Test de diferencia en la tendencia de la gravedad respecto del global: p-valor 0.0626
Potencia del test: 0.594
6.2.9 Hemorragia postparto
I=Casos$Hemorragia.postparto
I.sino=I
I.sino[!is.na(I.sino)& I.sino!="No"]="Sí"
taula=table(data.frame(I.sino,Sint))[c(2,1) ,1:3]
Tabla.DMCasos(I.sino,"HPP", "No HPP")| Asintomáticas (N) | Asintomáticas (%) | Leves (N) | Leves (%) | Graves (N) | Graves (%) | p-valor | Tipo | |
|---|---|---|---|---|---|---|---|---|
| HPP | 9 | 2.4 | 19 | 5.8 | 4 | 5.5 | 0.068493 | Montecarlo | 
| No HPP | 369 | 97.6 | 309 | 94.2 | 69 | 94.5 | ||
| Datos perdidos | 10 | 1 | 1 | 
Figura 6.20:
- Potencia del test: 0.551
 
I=ordered(I,levels=names(table(I))[c(2,3,1,4)])
Tabla.DMCasosm(I,c("Tto. médico",
  "Tto. Qx. conservador" ,             
"No") ,r=6)| Asintomáticas (N) | Asintomáticas (%) | Leves (N) | Leves (%) | Graves (N) | Graves (%) | p-valor | Tipo | |
|---|---|---|---|---|---|---|---|---|
| Tto. médico | 1 | 0.3 | 4 | 1.2 | 0 | 0.0 | 0.686931 | Montecarlo | 
| Tto. Qx. conservador | 369 | 97.6 | 309 | 94.2 | 69 | 94.5 | 0.215678 | Montecarlo | 
| No | 8 | 2.1 | 15 | 4.6 | 4 | 5.5 | 0.327267 | Montecarlo | 
| Datos perdidos | 10 | 1 | 1 | 
DF=data.frame(Factor=I,Síntomas=Sint)
taula=table(DF)
Síntomas=ordered(rep(c("Asintomática", "Leve", "Grave"), each=3),levels=c("Asintomática", "Leve", "Grave"))
Grupo=ordered(rep(c("Tto. médico",
  "Tto. Qx. conservador" ,          
"No") , 3),levels=c("Tto. médico",
  "Tto. Qx. conservador" ,           
"No"))
valor=as.vector(prop.table(taula, margin=1))
data <- data.frame(Grupo,Síntomas,valor)
ggplot(data, aes(fill=Síntomas, y=valor, x=Grupo)) + 
  geom_bar(position="dodge", stat="identity")+
  ylab("")+
  xlab("")+
  scale_fill_brewer(palette = "Dark2") 
Figura 6.21:
Asociación entre los grupos de sintomatología y el tipo de hemorragia postparto: test \(\chi^2\) de Montecarlo, p-valor 0.109
Potencia del test: 0.556
6.2.10 Eventos trombóticos
taula=table(data.frame(Casos$EVENTOS_TROMBO_TOTALES,Sint))[c(2,1) ,1:3]
Tabla.DMCasos(Casos$EVENTOS_TROMBO_TOTALES,"Eventos trombóticos", "No eventos trombóticos")| Asintomáticas (N) | Asintomáticas (%) | Leves (N) | Leves (%) | Graves (N) | Graves (%) | p-valor | Tipo | |
|---|---|---|---|---|---|---|---|---|
| Eventos trombóticos | 1 | 0.3 | 0 | 0 | 4 | 5.4 | 6e-04 | Montecarlo | 
| No eventos trombóticos | 387 | 99.7 | 329 | 100 | 70 | 94.6 | ||
| Datos perdidos | 0 | 0 | 0 | 
Figura 6.22:
- Potencia del test: 0.999
 
6.2.11 UCI materna (Sí-No)
| Asintomáticas (N) | Asintomáticas (%) | Leves (N) | Leves (%) | Graves (N) | Graves (%) | p-valor | Tipo | |
|---|---|---|---|---|---|---|---|---|
| UCI | 1 | 0.3 | 2 | 0.6 | 10 | 13.5 | 1e-04 | Montecarlo | 
| No UCI | 387 | 99.7 | 327 | 99.4 | 64 | 86.5 | ||
| Datos perdidos | 0 | 0 | 0 | 
Figura 6.23:
- Potencia del test: 1
 
6.2.12 UCI materna (antes-después)
I=Casos$UCI_ANTES.DESPUES.DEL.PARTO[Casos$UCI==1]
IA=Casos[Casos$UCI==1 & Casos$SINTOMAS_DIAGNOSTICO=="Asintomática",]$UCI_ANTES.DESPUES.DEL.PARTO
IA=factor(IA,levels=c("ANTES DEL PARTO","DESPUES DEL PARTO"))
IL=Casos[Casos$UCI==1 & Casos$SINTOMAS_DIAGNOSTICO=="Leve",]$UCI_ANTES.DESPUES.DEL.PARTO
IL=factor(IL,levels=c("ANTES DEL PARTO","DESPUES DEL PARTO"))
IG=Casos[Casos$UCI==1 & Casos$SINTOMAS_DIAGNOSTICO=="Grave",]$UCI_ANTES.DESPUES.DEL.PARTO
IG=factor(IG,levels=c("ANTES DEL PARTO","DESPUES DEL PARTO"))
taula=table(data.frame(I,Sint[Casos$UCI==1]))
Tabla.DMCasosr(IA,IL,IG,"UCI antes del parto", "UCI después del parto")| Asintomáticas (N) | Asintomáticas (%) | Leves (N) | Leves (%) | Graves (N) | Graves (%) | p-valor | Tipo | |
|---|---|---|---|---|---|---|---|---|
| UCI antes del parto | 1 | 100 | 0 | 0 | 6 | 60 | 0.318268 | Montecarlo | 
| UCI después del parto | 0 | 0 | 2 | 100 | 4 | 40 | ||
| Datos perdidos | 0 | 0 | 0 | 

- Potencia del test: 0.354
 
6.2.13 Prematuridad
taula=table(data.frame(Casos$PREMATURO,Sint))[c(2,1) ,1:3]
Tabla.DMCasos(Casos$PREMATURO,"Prematuro", "A término")| Asintomáticas (N) | Asintomáticas (%) | Leves (N) | Leves (%) | Graves (N) | Graves (%) | p-valor | Tipo | |
|---|---|---|---|---|---|---|---|---|
| Prematuro | 25 | 6.4 | 26 | 7.9 | 14 | 18.9 | 0.001582 | Paramétrico | 
| A término | 363 | 93.6 | 303 | 92.1 | 60 | 81.1 | ||
| Datos perdidos | 0 | 0 | 0 | 
Figura 6.24:
- Potencia del test: 0.906
 
6.2.14 Inicio de parto
I=Casos$Inicio.de.parto
I=factor(I,levels=c("Espontáneo", "Inducido", "Cesárea"),ordered=TRUE)
DF=data.frame(Factor=I,Síntomas=Sint)
taula=table(DF)
Tabla.DMCasosm(I,c("Espontáneo", "Inducido","Cesárea programada"))| Asintomáticas (N) | Asintomáticas (%) | Leves (N) | Leves (%) | Graves (N) | Graves (%) | p-valor | Tipo | |
|---|---|---|---|---|---|---|---|---|
| Espontáneo | 223 | 57.5 | 174 | 52.9 | 32 | 43.2 | 0.193424 | Paramétrico | 
| Inducido | 146 | 37.6 | 129 | 39.2 | 28 | 37.8 | 1.000000 | Paramétrico | 
| Cesárea programada | 19 | 4.9 | 26 | 7.9 | 14 | 18.9 | 0.000396 | Paramétrico | 
| Datos perdidos | 0 | 0 | 0 | 
Síntomas=ordered(rep(c("Asintomática", "Leve", "Grave"), each=3),levels=c("Asintomática", "Leve", "Grave"))
Grupo=ordered(rep(rownames(EEExt)[1:3] , 3),levels=rownames(EEExt)[1:3])
valor=as.vector(prop.table(taula, margin=1))
data <- data.frame(Grupo,Síntomas,valor)
ggplot(data, aes(fill=Síntomas, y=valor, x=Grupo)) + 
  geom_bar(position="dodge", stat="identity")+
  ylab("")+
  xlab("Inicio de parto")+
  scale_fill_brewer(palette = "Dark2") 
Figura 6.25:
- Asociación entre los grupos de sintomatología y el inicio de parto: test \(\chi^2\), p-valor \(7\times 10^{-4}\)
 
6.2.15 Tipo de parto
I.In=Casos$Inicio.de.parto
I.In[I.In=="Cesárea"]="Cesárea programada"
I=Casos$Tipo.de.parto
I[I.In=="Cesárea programada"]="Cesárea programada"
I[I=="Cesárea"]="Cesárea urgente"
I=factor(I,levels=c("Eutocico", "Instrumental", "Cesárea programada", "Cesárea urgente"),ordered=TRUE)
DF=data.frame(Factor=I,Síntomas=Sint)
taula=table(DF)
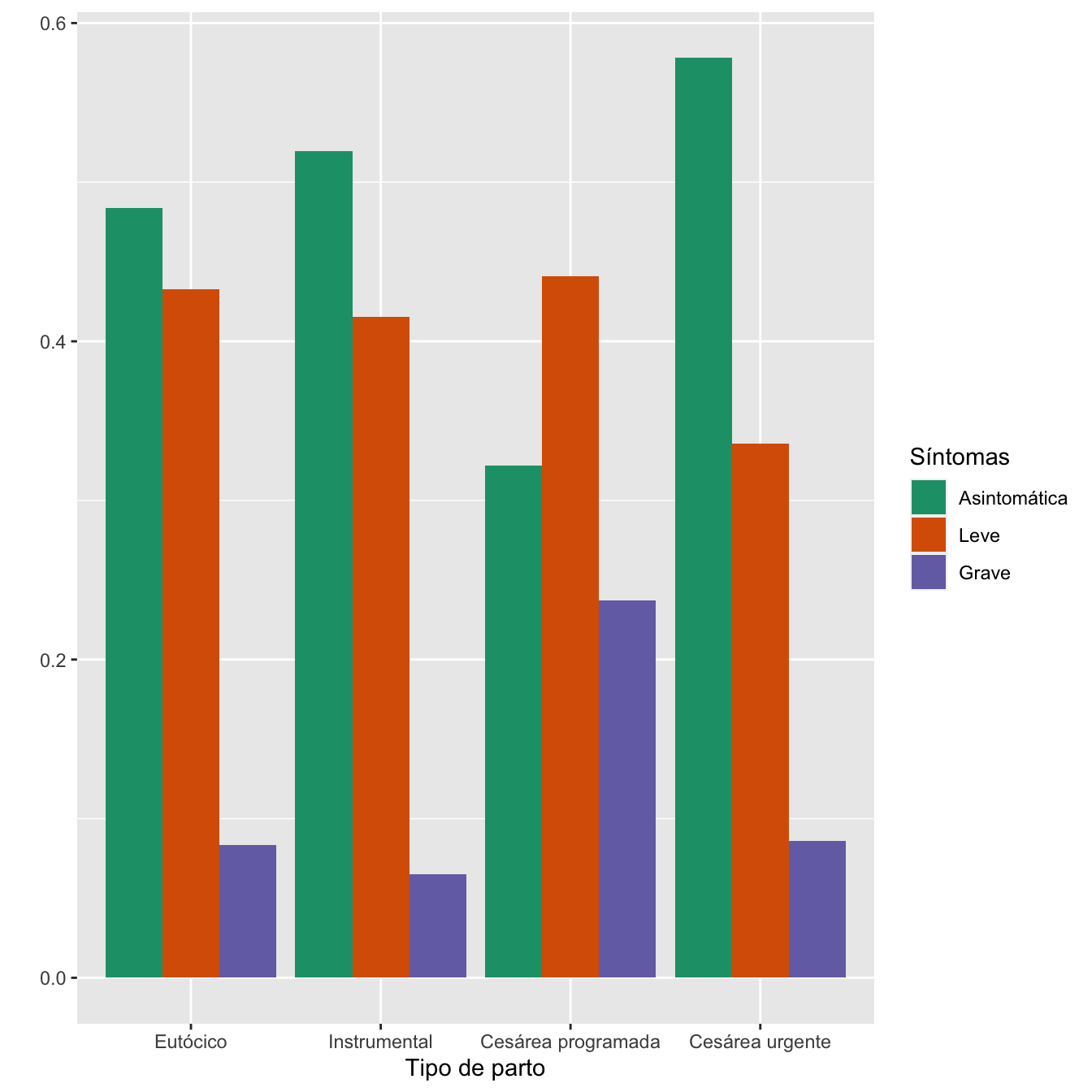
Tabla.DMCasosm(I,c("Eutócico", "Instrumental", "Cesárea programada", "Cesárea urgente"))| Asintomáticas (N) | Asintomáticas (%) | Leves (N) | Leves (%) | Graves (N) | Graves (%) | p-valor | Tipo | |
|---|---|---|---|---|---|---|---|---|
| Eutócico | 255 | 65.7 | 228 | 69.3 | 44 | 59.5 | 0.933348 | Paramétrico | 
| Instrumental | 40 | 10.3 | 32 | 9.7 | 5 | 6.8 | 1.000000 | Paramétrico | 
| Cesárea programada | 19 | 4.9 | 26 | 7.9 | 14 | 18.9 | 0.000529 | Paramétrico | 
| Cesárea urgente | 74 | 19.1 | 43 | 13.1 | 11 | 14.9 | 0.356862 | Paramétrico | 
| Datos perdidos | 0 | 0 | 0 | 
Síntomas=ordered(rep(c("Asintomática", "Leve", "Grave"), each=4),levels=c("Asintomática", "Leve", "Grave"))
Grupo=ordered(rep(c("Eutócico", "Instrumental", "Cesárea programada", "Cesárea urgente") , 3),levels=c("Eutócico", "Instrumental", "Cesárea programada", "Cesárea urgente"))
valor=as.vector(prop.table(taula, margin=1))
data <- data.frame(Grupo,Síntomas,valor)
ggplot(data, aes(fill=Síntomas, y=valor, x=Grupo)) + 
  geom_bar(position="dodge", stat="identity")+
  ylab("")+
  xlab("Tipo de parto")+
  scale_fill_brewer(palette = "Dark2") 
Figura 6.26:
Asociación entre los grupos de sintomatología y tipos de parto: test \(\chi^2\), p-valor \(0.001\)
Asociación entre los grupos de sintomatología y tipos de parto diferentes de la cesárea programada: test \(\chi^2\), p-valor 0.343
6.2.16 APGAR
I=c(Casos$APGAR.5...126,CasosGM$APGAR.5...150)
I[I==19]=NA
I=cut(I,breaks=c(-1,7,20),labels=c("0-7","8-10"))
I=ordered(I,levels=c("8-10","0-7"))
SintN=c(Casos$SINTOMAS_DIAGNOSTICO,CasosGM$SINTOMAS_DIAGNOSTICO)
taula=table(data.frame(I,SintN))[c(2,1) ,1:3]
Tabla.DMCasos(I,"Apgar.5≤7","Apgar.5≥8")| Asintomáticas (N) | Asintomáticas (%) | Leves (N) | Leves (%) | Graves (N) | Graves (%) | p-valor | Tipo | |
|---|---|---|---|---|---|---|---|---|
| Apgar.5≤7 | 11 | 2.9 | 11 | 3.3 | 2 | 2.7 | 0.950005 | Montecarlo | 
| Apgar.5≥8 | 372 | 97.1 | 324 | 96.7 | 71 | 97.3 | ||
| Datos perdidos | 8 | 4 | 1 | 

- Potencia del test: 0.063
 
6.2.17 Sintomatología vs UCI neonato
I=c(Casos[Casos$Feto.muerto.intraútero=="No",]$Ingreso.en.UCIN,CasosGM[CasosGM$Feto.vivo=="Sí",]$Ingreso.en.UCI)
IA=c(Casos[Casos$SINTOMAS_DIAGNOSTICO=="Asintomática"&Casos$Feto.muerto.intraútero=="No",]$Ingreso.en.UCIN,CasosGM[CasosGM$SINTOMAS_DIAGNOSTICO=="Asintomática" & CasosGM$Feto.vivo=="Sí",]$Ingreso.en.UCI)
IL=c(Casos[Casos$SINTOMAS_DIAGNOSTICO=="Leve"&Casos$Feto.muerto.intraútero=="No",]$Ingreso.en.UCIN,CasosGM[CasosGM$SINTOMAS_DIAGNOSTICO=="Leve" & CasosGM$Feto.vivo=="Sí",]$Ingreso.en.UCI)
IG=c(Casos[Casos$SINTOMAS_DIAGNOSTICO=="Grave"&Casos$Feto.muerto.intraútero=="No",]$Ingreso.en.UCIN,CasosGM[CasosGM$SINTOMAS_DIAGNOSTICO=="Grave" & CasosGM$Feto.vivo=="Sí",]$Ingreso.en.UCI)
SintN=c(Casos[Casos$Feto.muerto.intraútero=="No",]$SINTOMAS_DIAGNOSTICO,CasosGM[CasosGM$Feto.vivo=="Sí",]$SINTOMAS_DIAGNOSTICO)
taula=table(data.frame(I,SintN))[c(2,1) ,1:3]
Tabla.DMCasosr(IA,IL,IG,"UCIN", "No UCIN")| Asintomáticas (N) | Asintomáticas (%) | Leves (N) | Leves (%) | Graves (N) | Graves (%) | p-valor | Tipo | |
|---|---|---|---|---|---|---|---|---|
| UCIN | 28 | 7.3 | 23 | 7.1 | 13 | 17.6 | 0.008392 | Paramétrico | 
| No UCIN | 354 | 92.7 | 302 | 92.9 | 61 | 82.4 | ||
| Datos perdidos | 8 | 4 | 1 | 

- Potencia del test: 0.797
 
6.2.18 Sintomatología vs Fetos muertos anteparto
I1=Casos$Feto.muerto.intraútero
I1[I1=="Sí"]="Muerto"
I1[I1=="No"]="Vivo"
I1=ordered(I1,levels=c("Vivo","Muerto"))
I1A=I1[Casos$SINTOMAS_DIAGNOSTICO=="Asintomática"]
I1L=I1[Casos$SINTOMAS_DIAGNOSTICO=="Leve"]
I1G=I1[Casos$SINTOMAS_DIAGNOSTICO=="Grave"]
I2=CasosGM$Feto.vivo
I2[I2=="Sí"]="Vivo"
I2[I2=="No"]="Muerto"
I2=ordered(I2,levels=c("Vivo","Muerto"))
I2A=I2[CasosGM$SINTOMAS_DIAGNOSTICO=="Asintomática"]
I2L=I2[CasosGM$SINTOMAS_DIAGNOSTICO=="Leve"]
I2G=I2[CasosGM$SINTOMAS_DIAGNOSTICO=="Grave"]
IA=c(I1A,I2A)
IL=c(I1L,I2L)
IG=c(I1G,I2G)
I=c(I1,I2)
SintN1=Casos$SINTOMAS_DIAGNOSTICO
SintN2=CasosGM$SINTOMAS_DIAGNOSTICO
SintN=c(SintN1,SintN2)
taula=table(data.frame(I,SintN))[c(2,1) ,1:3]
Tabla.DMCasosr(IA,IL,IG,"Feto muerto anteparto", "Feto vivo")| Asintomáticas (N) | Asintomáticas (%) | Leves (N) | Leves (%) | Graves (N) | Graves (%) | p-valor | Tipo | |
|---|---|---|---|---|---|---|---|---|
| Feto muerto anteparto | 4 | 1 | 5 | 1.5 | 1 | 1.3 | 0.90141 | Montecarlo | 
| Feto vivo | 390 | 99 | 329 | 98.5 | 75 | 98.7 | ||
| Datos perdidos | 0 | 0 | 0 | 

- Potencia del test: 0.077
 
6.2.19 Edades gestacionales
I=Casos$EG_TOTAL_PARTO
Síntomas=ordered(Sint,levels=c("Asintomática" ,"Leve",      "Grave"  ))
data =data.frame(
  Síntomas,
  Edades=I
)
data %>%
  ggplot( aes(x=Síntomas, y=Edades, fill=Síntomas)) +
    geom_violin(width=1) +
    geom_boxplot(width=0.1, color="black", alpha=0.2,outlier.fill="black",
               outlier.size=1) +
    theme(
      legend.position="none",
      plot.title = element_text(size=11)
    ) +
    xlab("")+
   ylab("Edades gestacionales (semanas)")+
  scale_fill_brewer(palette = "Dark2") 
Figura 6.27:
Dades=rbind(c(round(min(I[data$Síntomas=="Asintomática"],na.rm=TRUE),1),round(max(I[data$Síntomas=="Asintomática"],na.rm=TRUE),1), round(mean(I[data$Síntomas=="Asintomática"],na.rm=TRUE),1),
              round(median(I[data$Síntomas=="Asintomática"],na.rm=TRUE),1),
              round(quantile(I[data$Síntomas=="Asintomática"],c(0.25,0.75),na.rm=TRUE),1),
              round(sd(I[data$Síntomas=="Asintomática"],na.rm=TRUE),1)),
   c(round(min(I[data$Síntomas=="Leve"],na.rm=TRUE),1),round(max(I[data$Síntomas=="Leve"],na.rm=TRUE),1), round(mean(I[data$Síntomas=="Leve"],na.rm=TRUE),1),
       round(median(I[data$Síntomas=="Leve"],na.rm=TRUE),1),
              round(quantile(I[data$Síntomas=="Leve"],c(0.25,0.75),na.rm=TRUE),1),round(sd(I[data$Síntomas=="Leve"],na.rm=TRUE),1)),         
  c(round(min(I[data$Síntomas=="Grave"],na.rm=TRUE),1),round(max(I[data$Síntomas=="Grave"],na.rm=TRUE),1), round(mean(I[data$Síntomas=="Grave"],na.rm=TRUE),1),round(median(I[data$Síntomas=="Grave"],na.rm=TRUE),1),
              round(quantile(I[data$Síntomas=="Grave"],c(0.25,0.75),na.rm=TRUE),1),round(sd(I[data$Síntomas=="Grave"],na.rm=TRUE),1))          )
colnames(Dades)=c("Edad gest. mínima","Edad gest.  máxima","Edad gest.  media",
                  "Edad gest. mediana", "1er cuartil", "3er cuartil","Desv. típica")
rownames(Dades)=c("Asintomática" ,"Leve",      "Grave"  )
Dades %>%
  kbl() %>%
  kable_styling() %>%     
  scroll_box(width="100%", box_css="border: 0px;")| Edad gest. mínima | Edad gest. máxima | Edad gest. media | Edad gest. mediana | 1er cuartil | 3er cuartil | Desv. típica | |
|---|---|---|---|---|---|---|---|
| Asintomática | 26.7 | 42.1 | 39.2 | 39.6 | 38.4 | 40.4 | 1.9 | 
| Leve | 18.0 | 41.9 | 39.1 | 39.4 | 38.6 | 40.4 | 2.4 | 
| Grave | 28.0 | 41.4 | 38.4 | 39.1 | 37.6 | 40.1 | 2.5 | 
Ajuste de las edades gestacionales de cada nivel a distribuciones normales: test de Shapiro-Wilks, p-valores \(6\times 10^{-20}\), \(10^{-24}\), \(10^{-6}\), respectivamente
Homocedasticidad: Test de Fligner-Killeen, p-valor \(0.02\)
Edades gestacionales medias: test de Kruskal-Wallis, p-valor \(0.03\)
Contrastes posteriores de edades gestacionales medias por parejas: tests de Mann-Whitney,p-valores ajustados por Bonferroni:
- Asintomática vs Leve: 1
 - Asintomática vs Grave: \(0.03\)
 - Leve vs Grave: \(0.05\)
 
6.2.20 Pesos hijos infectadas
SintN=c(Casos[Casos$Feto.muerto.intraútero=="No",]$SINTOMAS_DIAGNOSTICO,CasosGM[CasosGM$Feto.vivo=="Sí",]$SINTOMAS_DIAGNOSTICO)
Síntomas=SintN[!is.na(SintN)]
I=c(Casos[Casos$Feto.muerto.intraútero=="No",]$Peso._gramos_...125,CasosGM[CasosGM$Feto.vivo=="Sí",]$Peso._gramos_...148)
I=I[!is.na(SintN)]
data =data.frame(
  Síntomas,
  Pesos=I
)
data %>%
  ggplot( aes(x=Síntomas, y=Pesos, fill=Síntomas)) +
    geom_violin(width=1) +
    geom_boxplot(width=0.1, color="black", alpha=0.2,outlier.fill="black",
               outlier.size=1) +
    theme(
      legend.position="none",
      plot.title = element_text(size=11)
    ) +
    xlab("")+
   ylab("Pesos (gramos)")+
  scale_fill_brewer(palette = "Dark2") 
Figura 6.28:
Dades=rbind(c(round(min(I[data$Síntomas=="Asintomática"],na.rm=TRUE),1),round(max(I[data$Síntomas=="Asintomática"],na.rm=TRUE),1), round(mean(I[data$Síntomas=="Asintomática"],na.rm=TRUE),1),
              round(median(I[data$Síntomas=="Asintomática"],na.rm=TRUE),1),
              round(quantile(I[data$Síntomas=="Asintomática"],c(0.25,0.75),na.rm=TRUE),1),
              round(sd(I[data$Síntomas=="Asintomática"],na.rm=TRUE),1)),
   c(round(min(I[data$Síntomas=="Leve"],na.rm=TRUE),1),round(max(I[data$Síntomas=="Leve"],na.rm=TRUE),1), round(mean(I[data$Síntomas=="Leve"],na.rm=TRUE),1),
       round(median(I[data$Síntomas=="Leve"],na.rm=TRUE),1),
              round(quantile(I[data$Síntomas=="Leve"],c(0.25,0.75),na.rm=TRUE),1),round(sd(I[data$Síntomas=="Leve"],na.rm=TRUE),1)),         
  c(round(min(I[data$Síntomas=="Grave"],na.rm=TRUE),1),round(max(I[data$Síntomas=="Grave"],na.rm=TRUE),1), round(mean(I[data$Síntomas=="Grave"],na.rm=TRUE),1),round(median(I[data$Síntomas=="Grave"],na.rm=TRUE),1),
              round(quantile(I[data$Síntomas=="Grave"],c(0.25,0.75),na.rm=TRUE),1),round(sd(I[data$Síntomas=="Grave"],na.rm=TRUE),1))          )
colnames(Dades)=c("Peso. mínimo","Peso.  máximo","Peso.  medio","Peso mediano", "1er cuartil", "3er cuartil","Desv. típica")
rownames(Dades)=c("Asintomática" ,"Leve",      "Grave"  )
Dades %>%
  kbl() %>%
  kable_styling() %>%     
  scroll_box(width="100%", box_css="border: 0px;")| Peso. mínimo | Peso. máximo | Peso. medio | Peso mediano | 1er cuartil | 3er cuartil | Desv. típica | |
|---|---|---|---|---|---|---|---|
| Asintomática | 585 | 4720 | 3216.9 | 3300.0 | 2886.2 | 3600.0 | 584.1 | 
| Leve | 700 | 4740 | 3239.8 | 3260.0 | 2940.0 | 3581.2 | 573.9 | 
| Grave | 1400 | 4500 | 3245.0 | 3312.5 | 2898.8 | 3700.0 | 663.9 | 
Ajuste de los pesos de cada nivel a distribuciones normales: test de Shapiro-Wilks, p-valores \(8\times 10^{-8}\), \(3\times 10^{-7}\), \(0.001\), respectivamente
Homocedasticidad: Test de Fligner-Killeen, p-valor 0.292
Pesos medios: test de Kruskal-Wallis, p-valor 0.824
6.2.21 Bajo peso
I=c(Casos[Casos$Feto.muerto.intraútero=="No",]$Peso._gramos_...125,CasosGM[CasosGM$Feto.vivo=="Sí",]$Peso._gramos_...148)
I.cut=cut(I,breaks=c(0,2500,10000),labels=c(1,0),right=FALSE)
I.cut=ordered(I.cut,levels=c(0,1))
IA=c(Casos[Casos$Feto.muerto.intraútero=="No" &Casos$SINTOMAS_DIAGNOSTICO=="Asintomática" ,]$Peso._gramos_...125,CasosGM[CasosGM$Feto.vivo=="Sí"&CasosGM$SINTOMAS_DIAGNOSTICO=="Asintomática",]$Peso._gramos_...148)
IA.cut=cut(IA,breaks=c(0,2500,10000),labels=c(1,0),right=FALSE)
IA.cut=ordered(IA.cut,levels=c(0,1))
IL=c(Casos[Casos$Feto.muerto.intraútero=="No" &Casos$SINTOMAS_DIAGNOSTICO=="Leve" ,]$Peso._gramos_...125,CasosGM[CasosGM$Feto.vivo=="Sí"&CasosGM$SINTOMAS_DIAGNOSTICO=="Leve",]$Peso._gramos_...148)
IL.cut=cut(IL,breaks=c(0,2500,10000),labels=c(1,0),right=FALSE)
IL.cut=ordered(IL.cut,levels=c(0,1))
IG=c(Casos[Casos$Feto.muerto.intraútero=="No" &Casos$SINTOMAS_DIAGNOSTICO=="Grave" ,]$Peso._gramos_...125,CasosGM[CasosGM$Feto.vivo=="Sí"&CasosGM$SINTOMAS_DIAGNOSTICO=="Grave",]$Peso._gramos_...148)
IG.cut=cut(IG,breaks=c(0,2500,10000),labels=c(1,0),right=FALSE)
IG.cut=ordered(IG.cut,levels=c(0,1))
SintN=c(Casos[Casos$Feto.muerto.intraútero=="No",]$SINTOMAS_DIAGNOSTICO,CasosGM[CasosGM$Feto.vivo=="Sí",]$SINTOMAS_DIAGNOSTICO)
taula=table(data.frame(I.cut,SintN))[c(2,1) ,1:3]
Tabla.DMCasosr(IA.cut,IL.cut,IG.cut,"Bajo peso", "No bajo peso")| Asintomáticas (N) | Asintomáticas (%) | Leves (N) | Leves (%) | Graves (N) | Graves (%) | p-valor | Tipo | |
|---|---|---|---|---|---|---|---|---|
| Bajo peso | 39 | 10.3 | 24 | 7.5 | 9 | 12.5 | 0.284495 | Paramétrico | 
| No bajo peso | 341 | 89.7 | 296 | 92.5 | 63 | 87.5 | ||
| Datos perdidos | 10 | 9 | 3 | 

- Potencia del test: 0.275